立佳机械专业生产立式长轴泵,长轴液下泵,立式液下泵,多吸头排污泵,立式筒袋式凝结水泵,餐厨垃圾泵,H系列直角齿轮箱!   |     |     |  

技术专题

立式长轴泵

    地址:湖南省岳阳市湘阴县金龙镇湘阴工业园
    热线:18507312158
    手机:15111351988
    邮箱:sale@ljpump.net

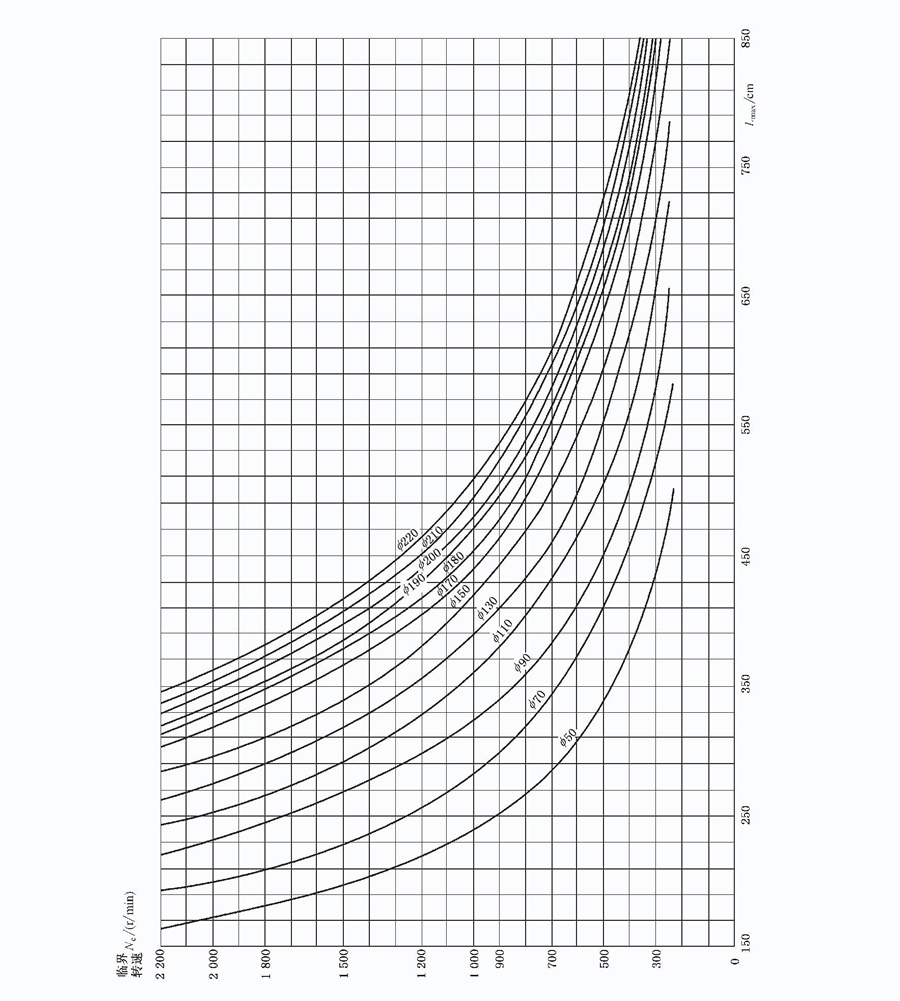
立式长轴泵最大轴承跨距及临界转速曲线图

所属分类:立式长轴泵 发布时间:2020/4/15 11:55:54 浏览人数:

     

立式长轴泵最大轴承跨距及临界转速曲线图:HLB、HLBK、HLKT、HLBS、HLKS等长轴泵,立式长轴泵,长轴斜流泵,立式斜流泵最大轴承跨距及临界转速曲线图,仅供参考,以实物为准!

立式长轴泵最大轴承跨距及临界转速曲线图.gif